Modelska analiza
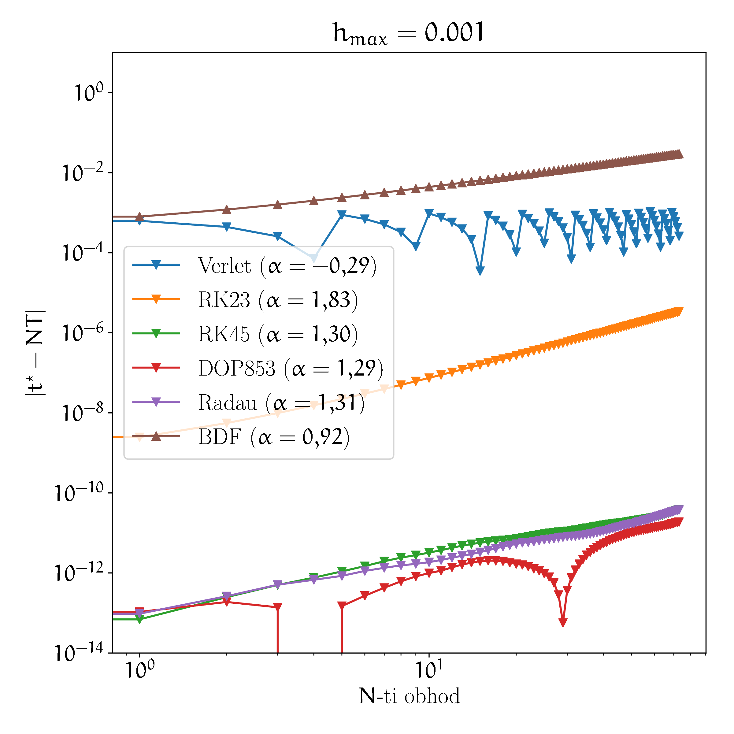
201 – Navadne diferencialne enačbe: začetni problem
Poročilo
Modelska analiza I
101 – Variacijska metoda
102 – Linearno programiranje
103 – Nelinearna minimizacija
104 – Populacijski modeli
105 – Modeli kemijskih reakcij
106 – Luščenje modelskih parametrov in razdelčni modeli
107 – Naključna števila in integracije z metodo Monte Carlo
108 – Metropolisov algoritem
109 – Stohastični populacijski modeli
110 – Spektralna analiza in filtriranje
111 – Optimalno filtriranje
112 – Metoda maksimalne entropije in linearna napoved
113 – Nevronske mreže
Modelska analiza II
201 – Navadne diferencialne enačbe: začetni problem
202 – Navadne diferencialne enačbe: robni problemi
203 – Lastne energije Schrödingerjeve enačbe
204 – Hartree-Fockova metoda
205 – Parcialne diferencialne enačbe: robni problemi in relaksacija
206 – Parcialne diferencialne enačbe: lastne rešitve
207 – Metoda končnih elementov: Poissonova enačba
208 – Metoda končnih elementov: lastne rešitve
209 – Metoda robnih elementov
210 – Direktno reševanje Poissonove enačbe
211 – Gibanje neraztegljive vrvice
212 – Navier-Stokesov sistem
zaključna – Vrtenje vrvi z neenakomerno gostoto